12月20日,ministerium verffentlich,Liste der Neuen Modelle von Kraft Fahrzeugen,Die von der Fahrzeug kaufstueer Befreit Sind(第15批),163Neue Fahrzeunge ausgew?hlt。Inbezugaufrein Elektrische Fahrzeuge,公交車乘客23段,公交車70段,卡車2段,Spezielle Fahrzeug 53段。在Bezug-auf Hybridfahrzeuge中,公交車乘客2段,公交車6段。Inbezugauf Brenstoffzellen,公交車第5段,Spezielle Fahrzeuge2第2段。










0
1
2
標簽:777
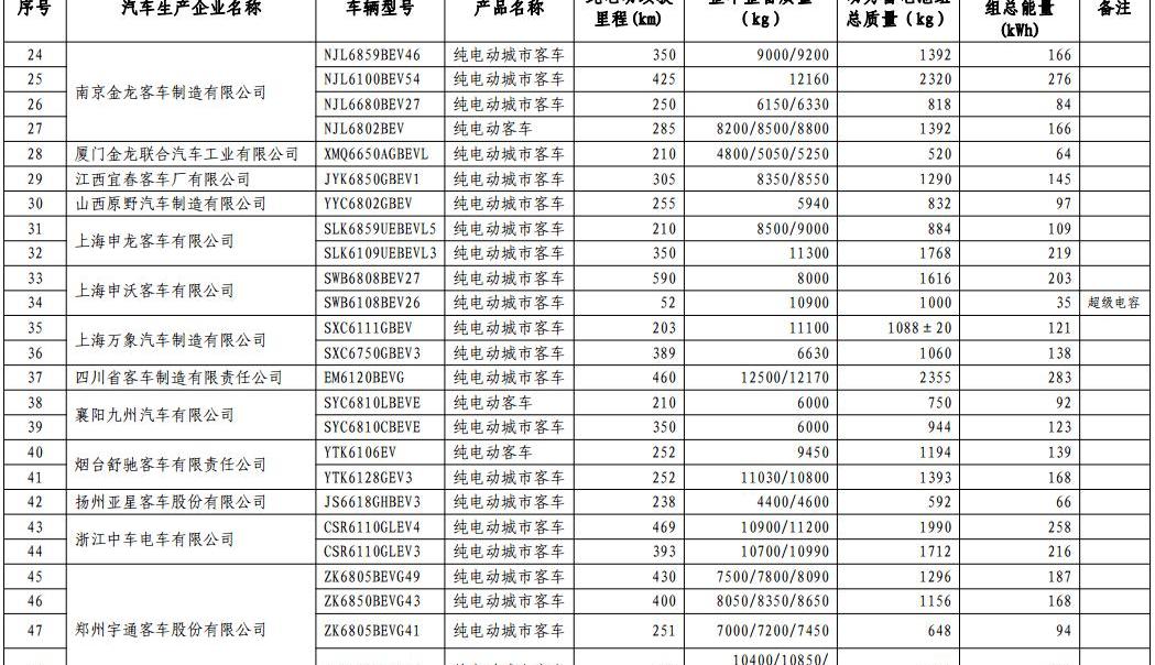
12月22日,北京市經信委發布《北京市示范應用純電動小客車生產企業及產品備案信息(2017年第7批)》,云度、北汽、長安、豪情4家車企的九款車型入選。
1900/1/1 0:00:00人工智能、無人駕駛、共享汽車、新能源,這些新技術新業態集成在一起是什么感覺?記者今天從兩江新區科技企業盼達用車獲悉,盼達無人駕駛取還車項目將率先在兩江新區試點。
1900/1/1 0:00:0012月20日,中機中心發布的《油耗整改審查情況通報》指出,截止12月19日,中機中心已對乘用車油耗整改車型進行了審查。請未整改或審查未通過的企業抓緊時間整改。
1900/1/1 0:00:0012月19日,溫州市發改委、財政局發布的《關于溫州市區新能源汽車推廣應用地方補助事項的通知》明確,消費者在市區購買的新能源汽車,按照中央財政補助標準的50給予地方補助,
1900/1/1 0:00:00“2017年對于云度來說,是不平凡的一年,我們經歷了最激動人心事情。從1月通過發改委審批,到6月份拿到工信部企業準入,再到10月10日云度首款產品1上市,我們團隊大家都是拼著命的干。
1900/1/1 0:00:00親愛的合作伙伴們:在您的支持與幫助下,上海決策者經濟顧問股份有限公司(CDMC)AutoprosDivision正式步入第10個年頭。
1900/1/1 0:00:00