11月25日,國家工業和信息化部、國家稅務總局發布第六批免征車輛購置稅的國家新能源汽車,比亞迪秦EV、芝麻E30、力帆650EV等車型進入。
以下是公告全文和免征車輛購置稅的新能源汽車目錄(第六批):
工業和信息化部
國家稅務總局
公告
2015年第76號
為推動我國交通能源戰略轉型,推進生態文明建設,支持新能源汽車產業發展,根據《中華人民共和國國家稅務總局財政部工業和信息化部關于免征新能源汽車購置稅的公告》(2014年第53號公告)的要求,會同國家稅務總局等部門對企業提交的申請材料進行了審查。《新能源汽車免征車輛購置稅車型目錄》(第六批)即將公布。
工業和信息化部
國家稅務總局
2015年11月25日
附件:免征車輛購置稅的新能源汽車目錄(第六批)
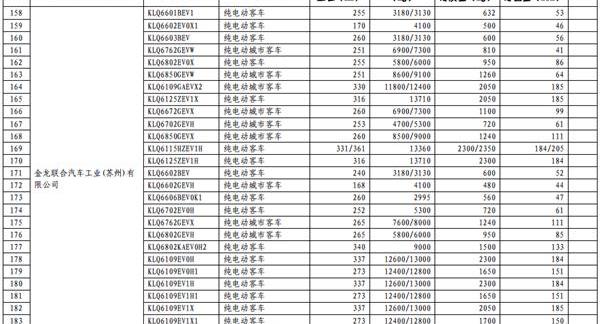
第一,純電動汽車
(1) 乘用車


(2) 乘用車








0
1
2
3
4
5
6
7
8
(3) 卡車
9
[第頁]
(4) 專用車輛
0
1
2
3
4
第二,插電式混合動力汽車
(1) 乘用車
5
(2) 乘用車
6
7
8
9
0
1 11月25日,國家工業和信息化部、國家稅務總局發布第六批免征車輛購置稅的國家新能源汽車,比亞迪秦EV、芝麻E30、力帆650EV等車型進入。
以下是公告全文和免征車輛購置稅的新能源汽車目錄(第六批):
工業和信息化部
國家稅務總局……
衛星)
公告
2015年第76號
為推動我國交通能源戰略轉型,推進生態文明建設,支持新能源汽車產業發展,根據《中華人民共和國國家稅務總局財政部工業和信息化部關于免征新能源汽車購置稅的公告》(2014年第53號公告)的要求,會同國家稅務總局等部門對企業提交的申請材料進行了審查。《新能源汽車免征車輛購置稅車型目錄》(第六批)即將公布。
工業和信息化部
國家稅務總局
2015年11月25日
附件:免征車輛購置稅的新能源汽車目錄(第六批)
第一,純電動汽車
(1) 乘用車


(2) 乘用車








0
1
2
3
4
5
6
7
8
(3) 卡車
9
[第頁]
(4) 專用車輛
0
1
2
3
4
第二,插電式混合動力汽車
(1) 乘用車
5
(2) 乘用車
6
7
8
9
0
1
標簽:比亞迪
市政府辦公室關于轉發蘇州市新能源汽車推廣應用市級財政補貼實施細則補充規定的通知蘇府辦2015210號各市、區人民政府蘇州工業園區、蘇州高新區、太倉港口管委會
1900/1/1 0:00:0011月22日2015年“博來杯”浙江武義中國汽車拉力錦標賽結束了第一階段第二部分五個賽段的賽程。
1900/1/1 0:00:00我國新能源汽車如何更好地推廣應用?坪山新區新能源汽車產業發展現狀及未來思路有何亮點?25日,
1900/1/1 0:00:0011月19日,2015年中國設計紅星獎頒獎典禮在京隆重舉行。
1900/1/1 0:00:00高效、安全、可靠的動力電池是制約新型近零排放汽車產業的瓶頸,也是新能源汽車的“短板”之一。
1900/1/1 0:00:002015世界新能源汽車發展高峰論壇暨中國國際新能源汽車展覽會于11月24日在香港拉開帷幕。
1900/1/1 0:00:00