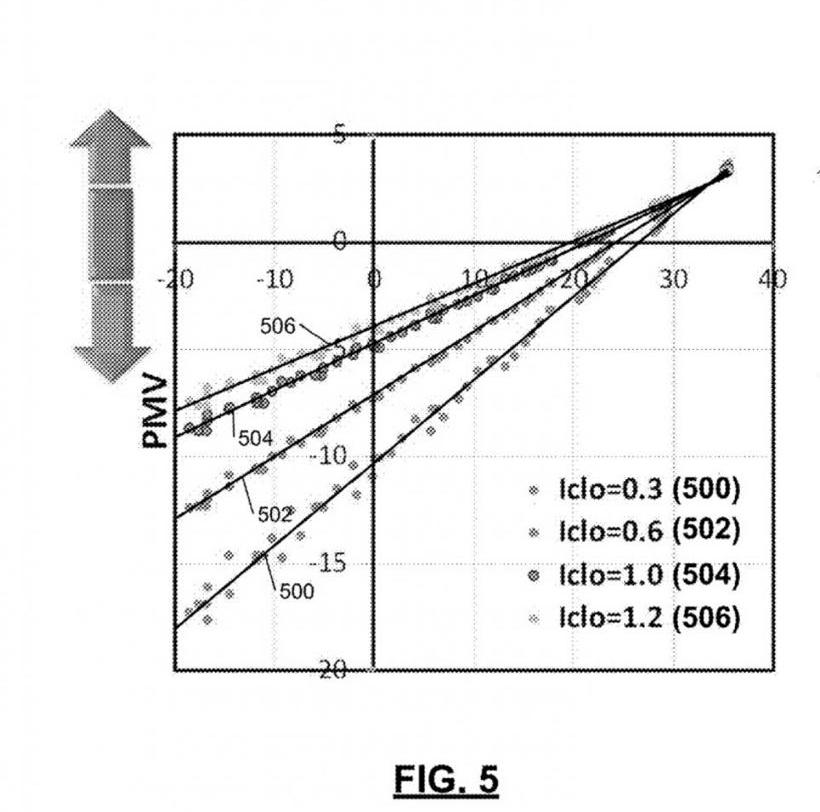
據外媒報道,通用汽車(GM)向美國專利商標局(USPTO)提交了一項新的專利申請。這項專利是一個氣候控制系統,它可以檢測乘客的衣服,并相應地調節車內的溫度。

該專利中描述的氣候控制系統包括存儲系統、補償模塊和氣候控制模塊,其中存儲系統存儲由車載傳感器捕獲的一系列圖像。隨后,補償模塊將評估捕獲的圖像,以估計第一乘客的“衣服狀況”。此外,該模塊還可以從邊緣計算設備或基于云的網絡接收服裝狀態。然后,系統可以根據這些數據確定最佳車廂溫度設定點,并適當地調整車輛氣候控制參數和區域。
1據外媒報道,通用汽車(GM)向美國專利商標局(USPTO)提交了一項新的專利申請。這項專利是一個氣候控制系統,它可以檢測乘客的衣服,并相應地調節車內的溫度。

該專利中描述的氣候控制系統包括存儲系統、補償模塊和氣候控制模塊,其中存儲系統存儲由車載傳感器捕獲的一系列圖像。隨后,補償模塊將評估捕獲的圖像,以估計第一乘客的“衣服狀況”。此外,該模塊還可以從邊緣計算設備或基于云的網絡接收服裝狀態。然后,系統可以根據這些數據確定最佳車廂溫度設定點,并適當地調整車輛氣候控制參數和區域。

標簽:
在新能源汽車發展如火如荼的今天,越來越多的車企成為技術驅動型的核心企業,自主品牌的產品力和品牌力也得到消費者認可。廣汽埃安是國內較早涉足三電系統自主開發的企業。
1900/1/1 0:00:00蓋世汽車訊據外媒報道,汽車零部件巨頭大陸集團將尋求與亞太地區的初創企業結盟,以迅速開發和采用下一代汽車創新技術。
1900/1/1 0:00:00如果保時捷在今年第四季度成功上市,那么估值高達950億美元的交易將有望成為德國有史以來規模最大,也是汽車史上最高價的一次IPO。如果成功,保時捷的品牌估值甚至可能超過其母公司大眾目前的市值。
1900/1/1 0:00:00蓋世汽車訊據外媒報道,在德國供應商埃貝赫(Eberspaecher)集團遭到大規模網絡攻擊近9個月后,該公司終于消除了其全球80個站點受到的影響,并提升了IT系統的安全等級。
1900/1/1 0:00:00分享上汽奧迪Q6于今日正式首發,并開啟預訂,預定價格為50萬元65萬元,共推出四款車型。其定位為“旗艦Roadjet陸地專機”。
1900/1/1 0:00:00長城汽車7月24日公告,董事會收到公司總經理王鳳英的書面辭職報告,王鳳英因工作調整申請辭去公司總經理職務,王鳳英將繼續在公司從事戰略管理相關工作。
1900/1/1 0:00:00